受付時間外のため、現在電話での予約はできません。
- 電話予約受付時間
- 9:00~23:00
- 診療時間
- 10:00~19:00(不定休)
- ※一部クリニックは異なります。
お手数おかけしますが、LINEもしくはWEBからのご予約をお願いいたします。
田村 太一医師らは、約30万件の症例データを用いて日本におけるヒアルロン酸注入のトレンドについて解析研究し、論文「From Contouring to Rejuvenation: A Nationwide Big-Data Analysis of Hyaluronic Acid Injection Trends in Japan」(日本におけるヒアルロン酸注入のトレンド解析:ビッグデータを用いた検討)を発表しました。
同論文は2026年1月、国際医療ジャーナル「Journal of Clinical Medicine」の顔面形成・再建外科特集号に掲載されました。
| 論文タイトル | From Contouring to Rejuvenation: A Nationwide Big-Data Analysis of Hyaluronic Acid Injection Trends in Japan |
|---|---|
| 掲載誌 | Journal of Clinical Medicine |
| 掲載日 | 2026年1月22日 |
| 著者 | Taichi Tamura, Takahiko Tamura, Kohki Okumura and Hiroo Teranishi |
| URL | https://www.mdpi.com/2077-0383/15/2/893 |
ヒアルロン酸注入は、低侵襲な美容医療における中核的治療法となっている。これらの施術に対する需要は世界的に増加し続けている一方で、患者背景や注入部位ごとの治療動向を長期的かつ大規模に解析した研究は限られており、特にアジア人集団においては十分なデータが存在しない。本研究は、全国規模のビッグデータを用いて、患者背景および部位別治療動向の推移を明らかにすることを目的とした。
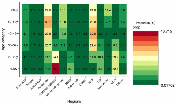
2020年10月から2024年12月までの期間に、グループ日本全国110院でヒアルロン酸注入を受けた299,413例(注入件数417,590)を対象とした後ろ向き研究を行った。年別、年齢別、注入部位別にデータを解析し、患者背景の変化および治療パターンの推移を評価した。
研究期間を通じて、年間患者数は一貫して増加した。患者背景には顕著な変化が認められ、2020~2022年には20代が最多であったのに対し、2023年以降は40歳以上の患者の割合が著明に増加し、全症例の半数以上を占めるようになった。治療選択は年齢によって明確に異なり、若年層では局所的な外見形成(涙袋、顎)が好まれる一方、中高年層では複数部位に対する若返り治療が必要とされる傾向があった。2024年には眼窩縁が最も頻繁に治療される部位となった(22.6%)。
本大規模解析により、日本の美容医療市場において、若年層における外見形成中心の治療から、中高年層における若返り治療へと明確な移行が生じていることが示された。
